理工學院趙俊華教授團隊在IEEE TII上發表文章
近日,香港中文大學(深圳)理工學院趙俊華教授團隊在IEEE旗下Trans系列的頂級期刊 IEEE Transactions on Industrial Informatics (IEEE TII) 發表以“An Inertia-based Data Recovery Scheme for False Data Injection Attack”為題的文章。
期刊介紹
IEEE TII為IEEE旗下Trans系列的頂級期刊,側重于以知識為基礎的工業自動化作為一種手段,以提高工業制造和制造過程。這包含了一組使用信息分析、操作和分發的技術以實現工業環境中更高的效率、有效性、可靠性和/或安全性。該期刊的范圍包括報告、定義、提供討論論壇,并向讀者介紹智能和計算機控制系統、機器人、工廠通信和自動化、柔性制造、視覺系統、數據采集和信號處理等方面的最新發展。收稿范圍包括但不限于生物工程、通信,網絡與廣播、元器件,電路,設備及系統、計算與處理、工程材料,電介質與等離子體、場,波和電磁、地球科學、電力,能源及工業應用、機器人與控制系統、信號處理與分析、交通運輸。IEEE TII最新影響因子為10.215,JCR分區Q1。
研究背景
由于信息物理電力系統暴露在網絡攻擊下的漏洞,其網絡安全問題越來越受到關注,尤其是面向虛假數據注入攻擊。在遭受網絡攻擊后,及時恢復測量值和狀態的真實值,對于確保后續系統的控制和運行至關重要。然而,現有研究大多關注于網絡攻擊的檢測方法,忽略了檢測后的數據恢復工作。
研究方法
文章中作者首次發現了一種被定義為測量數據慣性(MDI)的電力系統運行現象。與電力系統中眾所周知的慣量不同,該現象以測量數據為中心,從數學上描述了測量數據長期有規律、平穩地變化的過程。

圖1 電力系統量測數據慣性現象
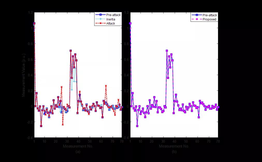
作者利用該現象推導出遭受網絡攻擊前量測數據的粗值,并進一步考慮電力系統運行狀態與約束條件,提出一種數據恢復優化模型,以準確恢復受攻擊前的測量數據與系統狀態。

圖2 電力系統測量數據在攻擊前、遭受攻擊、粗糙恢復值與所提優化模型恢復值的對比

圖3 電力系統狀態在攻擊前、遭受攻擊、粗糙恢復值與所提優化模型恢復值的對比
此外,作者考慮到系統每個狀態具有不同變化規律,以常見誤差指標如相對誤差(RE)評估恢復的數據會產生不公平對待,尤其是幅值接近于0的數據。因此,作者基于狀態運行區間,提出一種區間誤差(IE)評判標準,以評估數據恢復質量。

表1?數據恢復相對誤差統計對比結果

表2?數據恢復區間誤差統計對比結果
研究結論
此工作中作者提出了一種數據恢復方案以恢復被網絡攻擊污染的測量值和系統狀態。該方案利用發現的量測數據慣性效應推導出攻擊前測量值的粗值,然后將這些粗值用于所提出的數據恢復優化模型,以接近真正的攻擊前值。同時,利用預先確定的狀態邊界作為約束條件,顯示攻擊前狀態變量的正常波動。一個稱為區間誤差的錯誤準則也被提出用以評估所提恢復方案的性能。此外,所提恢復方案在IEEE 30節點測試基準上進行了廣泛綜合的評估。從數值結果來看,所提出的恢復方案可以準確地恢復被污染的測量值和狀態到攻擊前的值,對網絡攻擊顯示出較高的恢復精度。同時,案例研究還表明,恢復過程所需的時間足夠短,不影響后續操作,從而確保所提出的方案是一種遭遇網絡攻擊后的及時恢復策略。
作者簡介
香港中文大學(深圳)趙俊華教授和梁高琪教授為本文的共同通訊作者。

趙俊華教授分別于2003年和2007年在西安交通大學和澳大利亞昆士蘭大學獲得學士和博士學位。趙俊華教授是香港中文大學(深圳)理工學院副教授,深圳高等金融研究院能源市場與能源金融實驗室主任,深圳人工智能與機器人研究院研究員,招商銀行總部特聘能源行業專家。長期從事智能電網、能源經濟、低碳轉型、人工智能等領域研究。在加入港中大(深圳)之前,他擔任澳大利亞紐卡斯爾大學智能電網中心的高級講師,并兼任主任科學家。他已發表了120多篇學術論文,其中60多篇發表在國內外的頂尖期刊上。他一次獲得浙江省自然科學獎,兩次獲得湖南省科技進步獎,一次獲得中電聯“電力科技創新獎”,2014年IEEE電力與能源大會最佳論文獎,并4次獲得國家科學技術部“F5000”中國精品科技期刊頂尖學術論文獎。2017年,因對澳大利亞能源系統研究做出突出貢獻,趙俊華教授被澳大利亞達沃斯論壇(ADC Forum)授予了青年科學家獎(Young Scientist of the Future)。2020-21年兩次被斯坦福大學與Mendeley Data評為“全球前2%頂尖科學家”;同時入選“終身科學影響力排行榜”和“年度科學影響力排行榜。他領導或參與了30多個重要的研究和工業項目,包括由澳大利亞政府資助的“智能電網,智能城市”大規模試點項目,由澳洲聯邦科學院(CSIRO)資助的兩個旗艦研究項目,國家自然科學基金重大研究計劃、國家自然科學基金面上項目等。先后參與了國內多個電力市場的規則設計工作,其研究成果在工業界產生了重要影響,參與開發的多個軟件產品先后應用于紐約愛迪生公司、港燈集團、廣東省能源集團、中海油、大唐發電等大型能源企業。他是《IEEE Transactions on Network Science and Engineering》和《Energy Conversion and Economics》的編委會委員。
?

梁高琪教授分別于2012年和2017年在華北電力大學和澳大利亞紐卡斯爾大學獲得學士和博士學位,目前擔任香港中文大學(深圳)理工學院研究助理教授。發表學術論文34篇,目前,4篇文章入選“Essential Science Indicators(ESI)高被引文章”,Google scholar引用1900余次,h-index為10,i10-index為13。其研究興趣集中于智能電網信息物理安全、電力市場、碳市場等。參與撰寫了《深圳市人工智能產業發展白皮書》與《粵港澳大灣區綠色發展藍皮書(2019)》;參與完成了IEEE Standards P2781 “負荷建模與仿真”標準的制定;參與開發了國內首套商用電力現貨市場仿真軟件平臺NEMS,并已成功應用于廣東省能源集團、中海油、大唐發電等大型能源企業。
本文第一作者:阮嘉祺

阮嘉祺2019年碩士畢業于深圳大學,同年加入香港中文大學(深圳)理工學院趙俊華科學團隊攻讀博士學位。阮嘉祺的研究興趣包括智能電網的網絡安全與需求響應,取得一系列研究成果,已發表SCI論文四篇。
?
文章轉自理工學院微信公眾平臺,鏈接為https://mp.weixin.qq.com/s/M5Z8tW3u39IAngmsVVlvlw